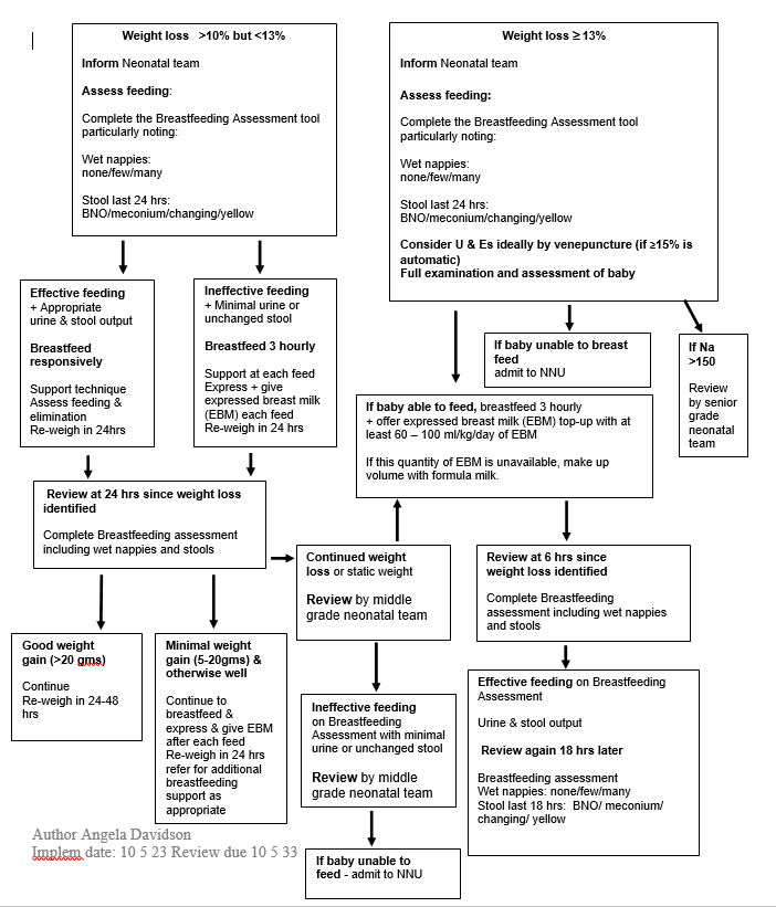
Large weight loss in breastfed babies in acute hospital settings
Breastfed babies with weight loss >10% on day 3 of life (72 hours) or more
Calculating weight loss as a %
Birthweight – Current weight / Birth weight x 100

Information to support the management of large weight loss in the breastfed baby
Feeding Cues
Feeding cues indicate the beginning of feeding readiness when babies are more likely to attach to the breast and can occur during periods of light sleep as well as when a baby is awake. Cues include rapid eye movements under the eyelids, mouth and tongue movements, body movements and sounds, sucking on a fist. Crying can be a way of indicating that the feeding cues have been missed. Some babies will demonstrate these cues following delivery. If this doesn’t occur, support should be provided and documented until effective feeding is established.
Syringe and Cup feeding
It is useful to give a baby small amount of colostrum in a syringe. To give a syringe feed safely, the baby should be held in the mother’s arms slightly upright, not flat. The syringe is gently placed in between the gum and cheek and a little colostrum gently squirted in, no more than 0.2ml at a time. Allow the baby time to enjoy the milk. Move onto cup feeding once you have more than 5ml to give. If there is a clinical indication to provide formula or a mother makes an informed choice to provide formula this can also be given in a cup (see below). Parents should be taught safe cup feeding using the cup feeding leaflet.
Boosting confidence
You can help and support the mother and boost her confidence by teaching her to hand express. Give her a supply of feeding syringes in the expressing ‘grab bag’ and a feeding cup, encourage skin contact, especially in the laid-back position and help her to recognize her baby’s feeding cues. Encourage responsive breastfeeding, where the mother offers her breast to her baby when he/she is ready or if she instinctively feels she wants to pick her baby up or if her breasts feel full. She can feed her baby expressed breast milk until he/she is breastfeeding actively and effectively. Responsive feeding will empower the mother as well as saving you time.
Formula Supplementation
If the mother cannot or chooses not to express her colostrum it is the responsibility of the midwife to follow the Supplementation guideline and ensure this is an informed decision based on awareness of the benefits of breastfeeding. The discussion must be documented by the midwife on TRAK in the mothers’ notes. The milk should be given by cup in volumes appropriate to the baby’s age i.e., first day 5-10mls per feed, second day 10-15mls per feed, third day 20mls per feed. Formula should not exceed 20mls per feed once lactation is established.
Recognising effective feeding - ensuring mothers and staff can identify
Alert baby, actively sucking that is settled at the breast and ends breastfeeding spontaneously and remains settled for short periods. The feed should be pain free and the baby should demonstrate adequate wet and dirty nappies. Refer to the breastfeeding assessment tool (yellow form). ( Link here and see below)
Active management is a plan you can discuss : (Link here) http://intranet.lothian.scot.nhs.uk/Directory/infoforpatients/Documents/Active%20management%20of%20breastfeeding.pdf
Large Weighloss Breastfed Babies Checklist
References
Off to a Good Start – All you need to know about breastfeeding. Public Health Scotland (2020)