Warning

Audience

  • All NHS Highland
  • Primary and Secondary care
  • Adults and Children over the age of 12 years

This guideline does NOT specifically cover the treatment of delirium or acute behavioural disturbance, both of which are medical emergencies.

Please refer to the following specific guidelines on these topics:

If rapid tranquilisation IS required in the setting of delirium, the principles and physical monitoring detailed in this guideline should be followed.

The goal of rapid tranquillisation is “to achieve a state of calmness without sedation, sleep or unconsciousness, thereby reducing the risk to self and/or others while maintaining the ability of the patient to respond to communication” (NICE, 2005) when appropriate psychological and behavioural approaches have failed to de-escalate acutely disturbed behaviour.

Definition: In this guideline, rapid tranquilisation is the administration of lorazepam and/or an antipsychotic via the parenteral route, or repeated oral administration within 60 minutes.

A single as required dose of oral medication is NOT rapid tranquilisation.

The algorithms are a guide to the prescription and monitoring of rapid tranquilisation. They are summaries for use in clinical settings and are to be used alongside the full guideline. 

If there is uncertainty about the legal status of the patient and the use of rapid tranquilisation, refer to the full guideline.

Senior doctors/ GPs are responsible for prescribing rapid tranquilisation, or advising that it be prescribed by a junior doctor or non-medical prescriber.

  • On admission the decision to prescribe rapid tranquilisation should be recorded in the Assessment/ Admission booklet. Otherwise clearly document the reasons in the patient’s notes.
  • The review of this decision should be at the initial senior review, AND at each ward round.

The patient is to be reviewed by a senior member of the medical team within 24 hours of the actual administration of rapid tranquilisation. This should occur on each occasion rapid tranquilisation is administered. The review may include:

  • Alteration to the patient’s regular treatment.
  • Alteration to the prescribing of as required or rapid tranquilisation as a result of the patient’s response to the medication administered.

Route

  • FIRST LINE: Oral route should ALWAYS be considered first and used if at all possible.
  • If oral medication is not possible, then consider the intramuscular (IM) route.
  • The intravenous (IV) route should ONLY be considered in the General Hospital setting. 

Choice

  • FIRST LINE DRUG: A benzodiazepine (lorazepam) is the first line drug of choice to achieve rapid tranquilisation.
  • Antipsychotic medication is considered as second line medication
    It can be considered first line in exceptional circumstances (see separate section).

There is little difference between antipsychotics and benzodiazepines in the effective management of acute psychotic behaviour (CR190). However, antipsychotics are associated with a number of risks, including neuroleptic malignant syndrome, extrapyramidal side effects, seizures, and adverse cardiac events and therefore should not generally be considered as first line treatment of disturbed behaviour.

Aims & principles

Aim

  • Highlight that rapid tranquilisation is an option of last resort
  • Recognise the role of rapid tranquilisation in minimising risk to the patient or others
  • Ensure no harm by establishing safe prescribing regimes and physical monitoring

General principles

Management plans for individual patients should be made in advance with a view to minimising the risk of acutely disturbed behaviour occurring.

  • Early intervention is desirable as disturbed behaviour should be brought under control as soon as possible.
  • Consider and address physical causes for behaviour.
  • Initial attempts should be made to use a non-pharmacological approach rather than medication.
  • Optimise regular medication
  • If the patient requires oral “as required” psychotropic medication consider prescribing:
    • Benzodiazepines
    • Additional “as required” doses of the regular antipsychotic rather than introducing a second antipsychotic (being aware of the potential for this to trigger high dose antipsychotic therapy)
    • Promethazine

Notes

  • Avoid lorazepam in patients with compromised respiratory function.
  • Caution using lorazepam in combination with clozapine (respiratory depression in rare cases).
  • Assess risk factors for QTc prolongation (see section on ECG and QTc) 
  • The prescribing of rapid tranquilisation should take into account the patient’s past response to medication, and any available advance statements.

First try non-pharmacological approaches

Whilst medication will continue to have a significant role to play in keeping the situation safe, non-pharmacological approaches can significantly reduce the need for such medication.

De-escalation techniques can be used where the situation is likely to involve anger, irritation, aggression or risk of violence. In such situations it is incumbent upon the service to provide staff training in de-escalation that enables them to:

  • Recognise the early signs of agitation, irritation, anger and aggression.
  • Understand the likely causes of aggression or violence, both generally and for each service user
  • Use techniques for distraction and calming, and ways to encourage relaxation.
  • Recognise the importance of personal space.
  • Respond to a service user’s anger in an appropriate, measured and reasonable way and avoid provocation.
  • Re-enforce pre-existing de-escalation and emotional regulation skills.

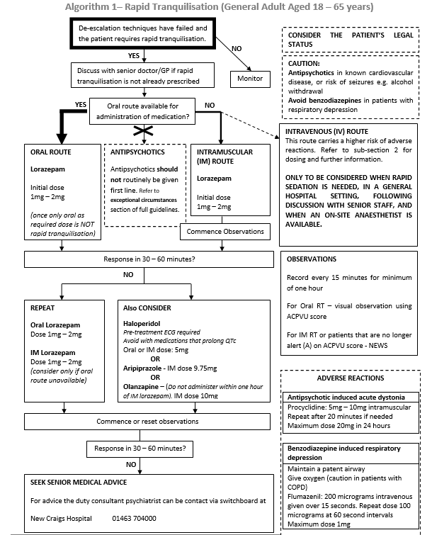
Algorithm: Adults (18 to 65 years)

AVOID: Do NOT mix lorazepam and an antipsychotic in the same syringe


Lorazepam (Oral, IM, IV)

Dose in Adults (18 to 65 years) = 1 to 2mg (Oral, IM, IV)

FIRST LINE: Oral is ALWAYS to be considered first
Alternative: IM lorazepam, when oral is not possible
Alternative: IV lorazepam:

  • ONLY consider in General Hospital setting
  • ONLY in Adults (18 to 65 years) 
  • AVOID, where possible, in young people (12 to 17 years)
  • AVOID in older adults (typically over 65 years)

The dose and speed of action for IV lorazepam varies compared to the oral and IM routes.

Lorazepam 

Maximum dose Adult (18 to 65)

Speed of onset of sedation

Duration of sedation 

Time to peak 

Oral

8mg in 24 hours 30 to 45 minutes 4 to 6 hours 2 hours

IM
Ensure dilution with an equal volume of water for injection

8mg in 24 hours 30 to 45 minutes 4 to 6 hours 1 to 1.5 hours

Notes (Oral & IM)

  • Bioavailability of the oral and intramuscular routes are similar.
  • The speed of onset of sedation is similar for both routes.
  • Maximum cumulative dose (oral and/or IM) is 8mg in 24 hours. Also take into consideration any other benzodiazepines that the patient is prescribed.

IV

ONLY consider in Adults in General Hospital setting

Max single dose: 2mg

4mg in 24 hours

5 to 10 minutes 4 to 6 hours ~ 5 minutes

Notes (IV)

If using the IV route, lorazepam is the first line medication to consider, and the ONLY IV medication covered in this guideline.

The use of IV lorazepam should ONLY be considered:

  • If rapid tranquilisation is essential.
  • If a peripheral venous cannula is already in situ
  • If an anaesthetist is available on site, or a member of staff is available who is competent in advanced airways techniques.
  • Following discussion with a senior member of the medical team.
  • After ensuring flumazenil is prescribed.

The following flow diagram should be considered when prescribing and administering IV lorazepam:


Haloperidol (Oral, IM)

See section on antipsychotics for more information  

Dose in Adults (18 to 65 years) = 5mg (Oral or IM)

Medicine

Maximum dose Adult (18 to 65)

Speed of onset of sedation

Duration of sedation

Time to peak

Haloperidol (Oral)

20mg in 24 hours 1 to 2 hours 4 to 8 hours 2 to 6 hours

Haloperidol (IM)

20mg in 24 hours 20 to 40 minutes 4 to 8 hours 20 to 40 minutes

Benztropine 2mg/2mL IM (unlicensed)

IM anticholinergic to be prescribed alongside haloperidol as there is a risk of dystonias, especially in young males. 
To be immediately available for acute dystonic reactions and oculogyric crisis.

Procyclidine (oral)

For extrapyramidal symptoms

Notes: 

  • Maximum cumulative dose (oral and/or IM) is 20mg in 24 hours.
  • It is anticipated that most patients will not require more than 15mg cumulatively in 24 hours.
  • The speed of onset of action between the oral and IM route is different.
  • There is a requirement for a baseline ECG prior to treatment with haloperidol, and the need to consider ongoing ECG monitoring.
    If a pre-ECG is not possible, there needs to be careful consideration given to haloperidol as an appropriate treatment choice.
  • The use of haloperidol is contraindicated in combination with other medicines that prolong the QTc.
  • IV haloperidol is NOT licensed for rapid tranquilisation. Given the serious potential side effects and interactions of haloperidol it is NOT considered to be a first line choice for rapid tranquilisation, and is NOT for use through the IV route.

Alternative IM antipsychotics

See section on antipsychotics for more information

If the use of haloperidol is inappropriate, and IM antipsychotic medication is considered necessary, then aripiprazole or olanzapine could be considered as alternatives.

Aripiprazole

Maximum dose Adult (18 to 65)

Time to peak

IM

30mg in 24 hours 1 hour

Notes:

  • A single dose of short acting IM aripiprazole is 9.75mg.
  • A repeat dose if needed can be administered after a minimum of two hours.
  • No more than three injections should be given in any 24-hour period.
Olanzapine

Maximum dose Adult (18 to 65)

Time to peak

IM

20mg in 24 hours

15 to 45 minutes
Notes:
  • A single dose of short acting IM olanzapine in patients aged 18 to 65 is 10mg.
  • A repeat dose of 5 to 10mg, if needed, can be administered after a minimum of two hours.
  • No more than three injections should be given in any 24-hour period, for up to a maximum of three consecutive days.
  • IM olanzapine, as a short acting injection, should NOT be administered within an hour of administering an IM benzodiazepine, especially if alcohol has been consumed.

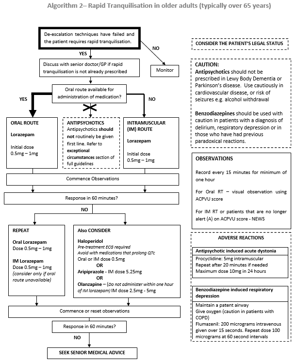
Algorithm: Older adults (typically over 65 years)

Although the rapid tranquilisation guidelines have different recommendations for different age groups, the age ranges are intended as a guide not an absolute. Overall frailty, the presence of co-morbidities, polypharmacy and previous psychotropic use/response should be considered when deciding what subsection to use.

AVOID: Do NOT mix lorazepam and an antipsychotic in the same syringe


General principles

Over sedation or unconsciousness is particularly dangerous in frail adults and should NOT be considered a successful outcome.

  • Consider and address physical causes for behaviour.
  • Older adults may respond to lower doses and may take longer to respond.
  • Start with the lowest appropriate dose and titrate slowly upwards if necessary.
  • If the oral route (preferable) is unavailable use intramuscular (IM) route with caution.
  • AVOID the intravenous (IV) route.
  • Patients with renal or hepatic insufficiency may require a lower initial dose, with subsequent adjustments at smaller increments and at longer intervals.
  • Consider the risk of falls when using sedative medication in this population
  • AVOID procyclidine use where possible.
  • If in doubt seek advice from psychiatry.

Prescribing information

  • A benzodiazepine (lorazepam) is the drug of choice to achieve rapid tranquilisation.
  • Antipsychotic medication can be considered an alternative in exceptional circumstances. 

Lorazepam (Oral, IM)

Lorazepam Initial dose Maximum dose: Older adult

Speed of onset of sedation

Duration of sedation Time to peak

Oral

0.5mg to 1mg 2mg in 24 hours 30 to 45 minutes 4 to 6 hours 2 hours

IM

0.5mg to 1mg 2mg in 24 hours 30 to 45 minutes 4 to 6 hours 1 to 1.5 hours

Notes: 

The bioavailability and speed of onset of sedation is similar for both oral and IM routes

  • Repeated doses of benzodiazepines are best avoided if delirium is diagnosed or suspected.
  • Lorazepam is contra-indicated in patients with respiratory depression or severe hepatic insufficiency.
  • Paradoxical reactions to benzodiazepines occur in less than 1% of patients, however older adults may be more predisposed to these reactions.

Haloperidol (Oral, IM)

Also see section on antipsychotics for more information

Haloperidol Initial dose Maximum dose: Older adult

Speed of onset of sedation

Duration of sedation Time to peak
Oral 0.5mg 2.5mg in 24 hours 1 to 2 hours 4 to 8 hours 2 to 6 hours
IM 0.5mg 2.5mg in 24 hours 20 to 40 minutes 4 to 8 hours 20 to 40 minutes

Notes: 

In those who have had antipsychotics before or who are not frail, an initial dose of 1mg could be considered. Reasons for prescribing this dose should be documented in the patient notes.

Doses above 2.5 mg daily should only be considered in patients who have tolerated higher doses and after reassessment of the individual benefit-risk.

  • Haloperidol is contra-indicated in Lewy body dementias and Parkinson’s disease.
  • As highlighted in the main body of the policy, there are specific considerations with haloperidol, QTc prolongation, and ECG monitoring.
  • Avoid use in patients with compromised cardiovascular function or at risk of seizure.
  • The IM route generally has significantly greater bioavailabilty than the oral route.
  • The speed of onset of action between the oral and IM route is different.

Alternative IM antipsychotics

Also see section on antipsychotics for more information

If the use of haloperidol is inappropriate or contra-indicated, and IM antipsychotic medication is considered necessary, then aripiprazole or olanzapine can be considered as alternatives.

Aripiprazole

Initial dose Duration of sedation Time to peak

IM

5.25mg (0.7mL)

30mg in 24 hours 1 to 3 hours

A repeat dose, if needed, can be administered after a minimum of two hours and up to three injections per 24 hour period.

Olanzapine

Initial dose Duration of sedation Time to peak

IM

2.5 to 5mg

20mg in 24 hours 15 to 45 minutes

A repeat dose, if needed, can be administered after a minimum of two hours; up to three injections per 24 hour period; for up to a maximum of three consecutive days.

IM olanzapine, as a short acting injection, should NOT be administered within an hour of administering an IM benzodiazepine, especially if alcohol has been consumed.

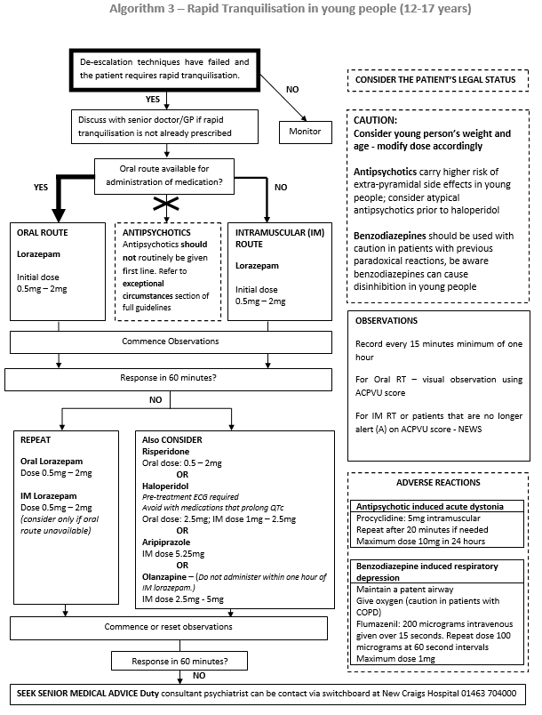
Algorithm: Young people (12 to 17 years)

This guidance is for rapid tranquilisation and is not to guide managing general agitation or distress in young people.

Age range is intended as a guide and is not absolute; there is wide variation in the weight, height and stage of development of young people between the ages of 12 and 17.

Clinical judgement is required in determining the most appropriate dose of medication and caution should be used, especially in psychotropic naïve individuals.

AVOID: Do NOT mix lorazepam and an antipsychotic in the same syringe


General principles

  • Ensure physical causes for acute behavioural disturbance are assessed and treated as appropriate. Consider the impact of any physical co-morbidities, developmental disorders and substance use on presentation.
  • Consider the young person’s age and weight when prescribing. In general, lower doses will be required in those <40kg and / or <16 years of age.
  • Start with the lowest appropriate dose and titrate slowly upwards, if necessary.
  • If the oral route (preferable) is unavailable use intramuscular (IM) route with caution.
  • AVOID the intravenous (IV) route where possible.
  • If able, discuss use of rapid tranquilisation with Child and Adolescent Psychiatrist prior to use. Where this is not possible use caution and discuss at the next available opportunity.

The Phoenix Centre provides Child and Adolescent Mental Health Services (CAMHS) in Highland.

  • Operates Monday to Friday, 9am to 5pm
  • Tel: 01463 705597

Prescribing information

  • A benzodiazepine (lorazepam) is the drug of choice to achieve rapid tranquilisation.
  • Antipsychotic medication can be considered, with atypical antipsychotic by oral route preferred, where possible.
  • Maximum daily doses includes oral PLUS IM doses.

Lorazepam (Oral, IM)

Lorazepam Initial dose Maximum dose:  Young person 

Speed of onset of sedation

Duration of sedation
Oral 0.5mg to 2mg 4mg in 24 hours

30 to 45 minutes

4 to 6 hours
IM 0.5mg to 2mg 4mg in 24 hours

30 to 45 minutes

4 to 6 hours
Notes: 

Higher doses may be used in exceptional circumstances in discussion with senior psychiatrist

  • Lorazepam is contra-indicated in patients with respiratory depression
  • Paradoxical reactions to benzodiazepines occur in less than 1% of patients, however young people may be more predisposed to these reactions.
  • The bioavailability and speed of onset of sedation is similar for both oral and IM routes.

AVOID IV lorazepam, where possible, in young people (12 to 17 years). If it is necessary, follow the information in General Adults (18 to 65). 

 


Risperidone (Oral)

See section on antipsychotics for further information

Risperidone

Initial dose

Maximum dose: Young person 

Time to peak

Oral

0.5 to 2 mg

6mg in 24 hours

1 to 2 hours

Notes: 

  • There is reduced risk of extra-pyramidal side-effects with risperidone compared to haloperidol and use should be considered in antipsychotic naïve patents where oral route is available.
  • There is no IM preparation available that is suitable for rapid tranquilisation.

Haloperidol (Oral, IM)

See section on antipsychotics for further information

Medicine

Initial dose

Maximum dose: Young person 

Speed of onset of sedation

Duration of sedation

Haloperidol (Oral)

2.5mg

15mg in 24 hours

1 to 2 hours

4 to 8 hours

Haloperidol (IM)

1 to 2.5mg

7.5mg in 24 hours

20 to 40 minutes

4 to 8 hours

Benztropine 2mg/2mL IM (unlicensed)

IM anticholinergic to be prescribed alongside haloperidol as there is a risk of dystonias, especially in young males. 
To be immediately available for acute dystonic reactions and oculogyric crisis.

Procyclidine (Oral)

For extrapyramidal symptoms

Notes: 

Doses above 15 mg daily should only be considered in patients who have tolerated higher doses and after reassessment of the individual benefit-risk.

  • There are specific considerations with haloperidol: QTc prolongation, and ECG monitoring. See separate section for more information. 
  • Caution is advised in antipsychotic naïve young people as extra-pyramidal side-effects are more common: 
    Parenteral anticholinergics e.g. procyclidine MUST be available
  • Avoid use in patients with compromised cardiovascular function or at risk of seizure.
  • The IM route generally has significantly greater bioavailability than the oral route.
  • The speed of onset of action between the oral and IM route is different.

Alternative IM antipsychotics

See section on antipsychotics for more information. 

If the use of haloperidol is inappropriate or contra-indicated, and IM antipsychotic medication is considered necessary, then aripiprazole or olanzapine can be considered as alternatives.

Aripiprazole

Initial dose

Maximum dose: Young person

Time to peak

IM

5.25mg (0.7mL)

30mg in 24 hours

1 to 3 hours

A repeat dose if needed can be administered after a minimum of two hours and up to three injections per 24 hour period.

Olanzapine

Initial dose

Maximum dose: Young person

Time to peak

IM

2.5 to 5mg

20mg in 24 hours

15 to 45 minutes

A repeat dose if needed can be administered after a minimum of two hours; up to three injections per 24 hour period; for up to a maximum of three consecutive days.

IM olanzapine, as a short acting injection, should NOT be administered within an hour of administering an IM benzodiazepine, especially if alcohol has been consumed.

Flumazenil for respiratory depression

Flumazenil is used to reverse the respiratory depression caused by benzodiazepines.

It is anticipated that IM administration of benzodiazepines is unlikely to produce this effect. However, the use of IM midazolam does increase this risk due to potential drug interactions involving midazolam (but not lorazepam).

  • If required, flumazenil should be given by IV injection, 200 micrograms over 15 seconds, then 100 micrograms at 60 second intervals, if required.
  • Flumazenil has a short half-life and therefore subsequent doses may be necessary.
  • Usual dose range: 300 to 600 micrograms.
  • Maximum total dose = 1mg in 24 hours (one initial dose and eight subsequent doses).
  • Flumazenil is contraindicated in patients with epilepsy who are receiving long-term benzodiazepines.

Midazolam IM (when lorazepam IM is not available)

Midazolam injection is the recommended alternative to lorazepam injection, but this use is outside the product licence and should ONLY be used in circumstances where lorazepam injection is not currently available.

Under these circumstances use midazolam IM as an alternative when this guideline refers to lorazepam IM
  • Please note the dosing is different. Consider a dose of midazolam IM 2·5mg to be equivalent to lorazepam IM 1mg.
  • Speed of onset of sedation with midazolam is around 15 minutes, which is two to three times more rapid than lorazepam.
  • Note however that the duration of midazolam’s action is significantly shorter.
  • Midazolam has a number of significant interactions.
    Plasma midazolam concentrations may be markedly increased, up to fivefold, by co-administration of:

Ensure: flumazenil is available and prescribed

Flumazenil reverses the respiratory depression caused by benzodiazepines.

It is anticipated that IM administration of benzodiazepines is unlikely to produce this effect. However, the use of IM midazolam does increase this risk due to potential drug interactions involving midazolam (but not lorazepam).

Antipsychotics and the high dose protocol

Antipsychotics are associated with a number of risks, including neuroleptic malignant syndrome, extrapyramidal side effects, seizures, and adverse cardiac events.

Care should be taken to avoid combinations and high, cumulative doses of antipsychotics, where possible, to avoid triggering the high dose protocol (see below).

Combinations: Concomitant use of two or more antipsychotics should be avoided where possible due to the risk of additive side effects including QT prolongation. This is a particularly important consideration in rapid tranquilisation where the patient’s physical state predisposes to cardiac arrhythmia.

Cumulative antipsychotic dose: When an antipsychotic is prescribed, it is important to consider the total amount of different antipsychotics prescribed. If this is not done, it is possible to exceed the BNF maximum daily dose of antipsychotics and place the patient at increased risk of adverse events. Include:

  • Any regular antipsychotic (remember to include depot medication)
  • As required medication (once only prescriptions and the dose of rapid tranquilisation you are planning). 

Antipsychotics could be considered:

  • Where benzodiazepine prescription alone has been unsuccessful
  • Where benzodiazepines are contraindicated
  • In patients with a known positive response to antipsychotic medication
  • Where the patient indicates they would prefer antipsychotic medication (e.g. advanced statement).
  • In a patient with delirium

Before prescribing an antipsychotic, carefully consider:

  • Is the patient antipsychotic-naïve?
  • Is the patient currently prescribed other antipsychotic medication?
  • Does the patient have a history of adverse reactions to antipsychotics?
  • Is there a risk of seizures (e.g. known epilepsy, alcohol withdrawal).
    • If there is a risk of seizures, use a benzodiazepine rather than an antipsychotic as the latter can lower the seizure threshold.
  • Are there any cardiac co-morbidities?
    • Avoid antipsychotics in patients with compromised cardiovascular function.
  • Does the patient have a co-morbid neurological disorder? 
    • Please be aware of the risk of antipsychotics, especially in Parkinson's disease and Lewy body dementia, where antipsychotics should be avoided.

Important information: haloperidol

  • Haloperidol can prolong the QTc and is contraindicated with other such medications.
  • Haloperidol in such a combination renders treatment unlicensed and should be avoided where possible. If clinical circumstances make such combinations unavoidable, and all other options have been considered
    • Ensure the rationale for treatment is clearly documented.
    • Consider increased monitoring of ECG and biochemical parameters.
  • Haloperidol SPC requires a pre-treatment ECG. If circumstances make this impractical avoid haloperidol, or if use is unavoidable a clear justification must be documented.

IM aripiprazole or IM olanzapine

  • These are potential alternative antipsychotics that may be preferable to IM haloperidol, depending on individual clinical circumstances. A decision to use these alternatives should be made by a senior doctor.
  • IM olanzapine and an IM benzodiazepine must NOT be administered within 1 hour of each other.

High dose antipsychotic protocol

The high dose antipsychotic protocol is triggered when the daily dose of antipsychotics prescribed exceeds 100% of the BNF maximum dose. This is calculated based on the maximum daily dosages of the various antipsychotics as recommended in the current edition of the BNF. As an example, a patient prescribed olanzapine 10mg regularly and 5mg as required is prescribed 75% of the maximum daily dose.

If this maximum limit is breached DO NOT prescribe antipsychotics for rapid tranquilisation without senior review.

The Royal College of Psychiatrists highlights that there is a lack of evidence supporting any benefit of high-dose antipsychotic prescription that outweighs the risks. That this is not recommended for rapid tranquilisation, and that in the rare circumstances this occurs, the decision should be on the advice of a consultant psychiatrist.

Refer to the High Dose (Antipsychotic) Protocol for more information, if needed: Contact Pharmacy at New Craigs via switchboard (01463 704000).

Exceptional circumstances

In exceptional circumstances, based on clinical judgement, there may be good reasons for not following the standard guidance. This section considers these exceptional circumstances. Clearly document in the patient notes why this is the case.

Exceeding maximum dosing

When the first two stages of the rapid tranquilisation algorithm have failed, or if the maximum amount of prescribed medication has been used and there is a further need for rapid tranquilisation within a 24 hour period, then it is possible to exceed the maximum dosing recommended in the algorithm.

This decision needs to be made by a senior doctor/ GP, who can instruct the junior doctor. This is because of the associated increased risks with high dose antipsychotics and benzodiazepines. Every effort should be made to obtain an ECG before exceeding BNF maximum dosing of antipsychotics.

Antipsychotics used first line

Occasionally there may be a need to prescribe an antipsychotic as the first line medication for rapid tranquilisation. Whilst this is not the preferred medication, there would need to be justification as to its use with lorazepam or on its own. This may include patient preference in an advanced statement, a history of paradoxical agitation with benzodiazepines, or a positive response previously to this medication.

This decision should be made by a senior doctor/ GP, with consideration to the various risks, including the risk of haloperidol in combination with other medications, and the recommendation to have an ECG. 

Clopixol Acuphase

Clopixol Acuphase (zuclopenthixol acetate) is NOT recommended for rapid tranquilisation due to a long onset and duration of action, but may be considered as an option when:

  • The patient is liable to be disturbed over an extended time period.
  • There is a past history of good/timely response.
  • There is a past history of repeated parenteral administration.
  • Cited in an advance statement.

The use of Clopixol Acuphase should be a consultant decision.

NEVER administer to patients who are neuroleptic naïve.

ECG and QTc prolongation

ECG

  • It is usually impractical to obtain an ECG from a patient who requires rapid tranquilisation. Therefore an ECG should be undertaken as soon as is practicable after admission to hospital.
  • Risk of ventricular arrhythmias increases significantly when the corrected QT interval (QTc) increases above normal limits. These limits are 440ms for men and 470ms for women.
  • Any medication that can prolong the QT interval should be stopped if the ECG shows a QTc of greater than 500ms.

Physiological Risk Factors for QTc Prolongation and Arrhythmia

Cardiac symptoms

Metabolic symptoms Others
  • Long QT syndrome
  • Bradycardia
  • Ischaemic heart disease
  • Myocarditis
  • Myocardial infarction
  • Left ventricular hypertrophy
  • Hypokalaemia
  • Hypomagnesaemia
  • Hypocalcaemia
  • Extreme physical exertion
  • Stress or shock
  • Anorexia nervosa
  • Extremes of age
  • Female gender

Taylor et al, 2012, p114-115


Drugs associated with QT prolongation

These lists are not exhaustive. Please refer to www.crediblemeds.org for more detailed information

Antipsychotic effect on QTc:

Nil

Low Moderate High Unknown
  • Brexpiprazole
  • Cariprazine
  • Lurasidone
  • Aripiprazole
  • Asenapine
  • Clozapine
  • Flupentixol
  • Fluphenazine
  • Loxapine
  • Perphenazine
  • Prochlorperazine
  • Olanzapine
  • Paliperidone
  • Risperidone
  • Sulpiride
  • Amiulpride
  • Chlorpromazine
  • Haloperidol
  • Iloperidone
  • Levomepromazine
  • Melperone
  • Quetiapine
  • Ziprasidone
  • Any IV antipsychotic
  • Pimozide
  • Sertindole
  • Any exceeding maximum dose
  • Pipotiazine
  • Trifluoperazine
  • Zuclopenthixol

Non-psychotropics associated with QTc prolongation:

Antibiotics

Antimalarials Antiarrhythmics Others
  • Erythromycin
  • Clarithromycin
  • Ampicillin
  • Co-trimoxazole
  • Pentamidine
  • 4 quinolones effect QTc. See manufacturers’ information
  • Chloroquine
  • Mefloquine
  • Quinine
  • Quinidine
  • Disopyramide
  • Procainamide
  • Sotalol
  • Amiodarone
  • Bretylium
  • Amantadine
  • Cyclosporin
  • Diphenhydramine
  • Hydroxyzine
  • Methadone
  • Nicardipine
  • Tamoxifen
  • Citalopram
  • Escitalopram

HEPMA / Kardex prescribing

HEPMA prescribing

Lorazepam/ haloperidol ‘either/or’ protocols are available on HEPMA and should be used to prescribe rapid tranquilisation. This means that multiple formulations/ routes are prescribed and it is at the nurses’ discretion which one is used at the point of administration. If a dose range is required this can be detailed in the PRN notes section, or if the character limit prevents this, an order note can be added instead. If an order note is used it is suggested that “Note to appear when Charting” is used to make the note visible at the point of administration.

Ensure that the maximum cumulative dose in 24 hours by all routes (eg oral + IM) is included.

Kardex prescribing

It is important to prescribe different routes of administration (oral, IM, IV) on separate lines of the Kardex. When prescribing IM or IV medication it is important to cross reference with the oral route, stating ‘if oral route inappropriate’. The risk of an error in administration is minimised if the routes of administration of a single medication are written on the Kardex one below the other.

Ensure that the maximum cumulative dose in 24 hours by all routes (eg oral + IM) is included.

Administration, observation and monitoring

Administration

Nursing staff may use their professional judgement to administer lorazepam and/or antipsychotic for rapid tranquilisation when this is prescribed.

This decision requires two registered nurses (New Craigs) for both oral and IM rapid tranquilisation.

Ensure that the prescribed maximum cumulative dose in 24 hours by ALL routes (eg oral + IM) is NOT exceeded.

Documentation

Record what has been administered via rapid tranquilisation and follow-up

For the administration of IM rapid tranquilisation, the two nurses involved in the administration should sign HEPMA or record initials on the Kardex along with the dose administered (New Craigs).

  • Any incident requiring rapid tranquillisation: the effect of rapid tranquilisation should be recorded in the case notes (consider using the red/ yellow sticker system – currently applicable only to New Craigs Hospital).
  • Contact the patient’s consultant/ duty consultant requesting that the patient be reviewed within 24 hours of administration of the rapid tranquilisation medication. 
  • A post incident review should take place as soon as possible after the administration of IM rapid tranquilisation, if restraint has been required.

Observation and monitoring

Basic monitoring uses the ACVPU score, to highlight if the patient is Alert, Confused, responding to Voice or Pain, or Unresponsive.

Nursing observation of mental state and, as necessary, monitoring of vital signs, should be undertaken as per guidance below.

If restraint is required, in order to administer via the parenteral route, a member of the team should take responsibility for protecting and supporting the head and neck and for ensuring that the airway and breathing are not compromised and that colour and respiration are constantly monitored until restraint ceases.

Check the patient every 15 minutes for a minimum of one hour following the administration of rapid tranquilisation. This period can be extended if there are concerns, and restarted if further rapid tranquilisation is administered.

The level of checks will depend on the sedation of the patient and the route of administration. For this purpose the ‘ACVPU’ scale is used to assess a patient’s level of consciousness. Patients are defined either as ‘alert’ (A on ACVPU) or ‘sedated’ (C,V,P or U on ACVPU). The levels of checks are outlined below.

Check for alert patient

Check for IM medicated or sedated patient 

  • Talking 
  • ACVPU score

If the patient's consciousness level reduces and becomes sedated the monitoring switches across to the sedated patient.

  • Temperature 
  • Pulse
  • Blood Pressure 
  • Oxygen saturation 
  • Respiratory rate 
  • ACVPU score 

Documentation

  • Record the NEWS score on an observation chart.
  • Where full monitoring is impractical, clearly document the reasons why and ensure minimum observation of respiration and level of consciousness.
  • The frequency and duration of checking/ monitoring are based on when rapid tranquilisation medication is at its maximum plasma level and overall duration of action.
  • For vital sign monitoring, consider a wrist measurement device such as Omron r5.
  • The ‘Red Sticker’ for monitoring response to rapid tranquilisation should be used in the patient’s notes to identify the time, medication, reason and response to rapid tranquilisation (New Craig only).

Escalation

Nursing staff who have a concern about a patient who has received rapid tranquilisation medication should seek medical advice at any time. See the table for triggers for concern and the required remedial action.

Triggers for concern:

Remedial action 

Respiratory rate reduction to <10 breaths/ minute
OR oxygen saturation <94% on pulse oximeter

  • Maintain a patent airway
  • Give oxygen (caution in patients with COPD)
  • Give IV flumazenil if benzodiazepine induced respiratory depression.
  • If induced by any other sedative agent may require mechanical ventilation and transfer to medical care.
Increased temperature
  • Withhold antipsychotics if above 38oC (risk of neuroleptic malignant syndrome and arrhythmia).
  • Check creatinine kinase urgently.

Pulse increased ≥140 beats per minutes

  • Refer to medical care

Pulse decreased <50 beats per minutes

  • Refer to medical care
Fall in blood pressure of 30mmHg orthostatic drop, or systolic blood pressure <90mmHg, or diastolic blood pressure <50mmHg
  • Lie patient flat.
  • Tilt bed towards head.
  • Monitor closely.
Acute dystonia (including oculogyric crisis)

Community setting and patient transfer

Occasionally patients in the community setting will require rapid tranquilisation. This may take place in a variety of scenarios, such as at the patient’s home, at a nursing home, or during transport. The assessing senior doctor/ GP is responsible for recommending rapid tranquilisation and prescribing this on the Kardex, if indicated.

At the time of initial assessment it may be that rapid tranquilisation is not considered necessary.

If the patient's mental health subsequently deteriorates then the senior doctor/ GP should return to reassess and, if indicated, prescribe rapid tranquilisation.

In exceptional circumstances, when this is not possible, the advice of the senior doctor/ GP should be sought. They can advise on the prescribing of rapid tranquilisation by a junior doctor or non-medical prescriber who has reviewed the patient.


Lorazepam

There is a risk with lorazepam of respiratory depression. This should be managed with attention to airway and breathing, with oxygen if required, and can be reversed with IV flumazenil.

IV flumazenil should be prescribed as an “as required” medication alongside IM lorazepam.

If there are no signs of deteriorating consciousness or respiratory depression an hour following rapid tranquillisation, the risk of developing this is considered low.


Patient's home

If IM lorazepam is administered at the patient’s home, the clinician should remain on site for an hour, or until replaced by ambulance crew or nursing staff. Emphasis is on early identification of deteriorating respiratory function by monitoring closely (see section on observation and monitoring) and responding to a deterioration in respiratory function by calling an ambulance and supporting and maintaining an airway until an ambulance arrives.


Patient transfer

There are specific issues that relate to the transfer of patients who may require rapid tranquilisation during transport. 

Escort or place of safety teams should establish that appropriate medication has been prescribed. 

An ambulance with oxygen and airway/breathing adjuncts is required for transport due to the possible risk of respiratory depression in patients who have had, or may require, rapid tranquilisation. 
In the event of respiratory depression the crew should manage the patient’s airway and oxygenation, and seek the quickest way for the patient to receive IV flumazenil (carried by the escort team along with equipment for cannulation). This would be via a GP or local A&E department.


Stability/ storage

Lorazepam injection should be stored and transported refrigerated (2°C to 8°C). Any temperature excursion renders its use outside its product licence and should be avoided where possible. However, the current manufacturer of lorazepam 4mg/1mL solution for injection (Macure Pharma UK Ltd) has advised the Specialist Pharmacy Service (SPS) that stability data shows that the product is stable for up to three temperature excursions of not more than 24 hours each in the temperature range of 8°C to 25°C. The product can be used within the original expiry date if returned to the fridge between excursions.

There should be departmental Standard Operating Procedures in place that can be referred to for further details. 


Antipsychotics

The likelihood of being able to arrange an ECG for patients in the community is low. This highlights the risks associated with the prescription of antipsychotics discussed in the antipsychotic section. Therefore, any prescription should be carefully considered and the rationale for treatment clearly documented.


Equipment

Medical, escort or place of safety bags should have available all the equipment required for safe administration and monitoring of rapid tranquilisation. This includes:

  • Medication (including flumazenil)
  • Thermometer
  • Equipment for IM injection
  • Pulse oximeter
  • Equipment for cannulation
  • Sphygmomanometer
  • Kardex: 
    • There is a rapid tranquilisation Kardex for use at New Craigs for patient transfer, contact New Craigs Pharmacy if needed via Raigmore switchboard (01463 704000).
  • NEWS chart
  • Sharps box

Legislation

Common Law

In medical and psychiatric emergencies in non-detained patients, common law allows treatment to protect a patient’s life and/or the wellbeing of others. No certification is needed beyond the documentation of an accurate description of the actions taken within the patient’s notes. However any patient who has the capacity to make or withhold consent cannot be given medical treatment without that consent. While the use of common law is acceptable in certain emergency situations, judicious application of the Adults with Incapacity (Scotland) Act 2000, and the Mental Health (Care and Treatment)(Scotland) Act 2003, provide a framework for patients deemed incapable to consent to treatment because of a mental disorder.

Adults with Incapacity (Scotland) Act 2000

Under section 47 of this act, a patient who is incapable of making decisions about medical treatment can be given “any procedure or treatment designed to safeguard or promote physical or mental health” without their consent, subject to the principles of the Act. These are that the treatment must be of benefit, be the least-restrictive, take account of the wishes of the person, consult with relevant others, and encourage the person to use existing skills and develop new skills. The medical practitioner primarily responsible for the medical treatment of the adult must issue a Section 47 Certificate of Incapacity.
This act prohibits the use of force or detention, unless it is immediately necessary and only for so long as is necessary in the circumstances. Therefore if an adult shows continued resistance to treatment for mental disorder consideration should be given to making use of the mental health act.

Mental Health (Care and Treatment)(Scotland) Act 2003

The Act allows for the administration of medication to treat mental disorder (including acutely disturbed behaviour secondary to delirium and dementia) without and/or against the patient’s consent. It does not allow the administration of non-psychiatric treatment without their consent.
Where a treatment plan exists (T2 or T3) which does not permit the administration of medication necessary for rapid tranquilisation of the patient, then a T4 must be completed.
In medical emergencies for any detained patient, Section 243 of the Mental Health (Care and Treatment) (Scotland) Act 2003 allows the administration of medical treatment without consent to:

  • Save a patient’s life.
  • Prevent serious deterioration in the patient’s condition.
  • Alleviate serious suffering on the part of the patient.
  • Prevent the patient behaving violently and/or being a danger to themselves or others.

Following this action the prescribing doctor has a responsibility to inform the Mental Welfare Commission of their action within seven days, and to inform the patient’s Responsible Medical Officer.

References

Editorial Information

Last reviewed: 07/04/2025

Next review date: 30/04/2028

Author(s): Mental Health .

Version: 2.1

Approved By: TAM Subgroup of the ADTC

Reviewer name(s): R McLelland, Principal Pharmacist, Dr I Thomas.

Document Id: TAM442