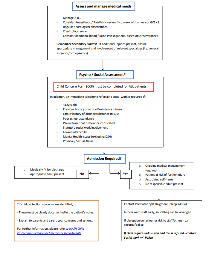
Guideline to ensure consistent and safe management of vulnerable young people presenting to emergency care settings under the influence of alcohol/drugs. Ensuring psyhosocial risks are identified and appropriately acted on.
If deliberate self-harm is suspected, please refer to: Children and young people: deliberate self-harm with suicidal intent (Paediatric Guidelines)
